ОТВЕТ на задание № 205 Учебник по Математике 5 класс Зубарева

Решебник 1

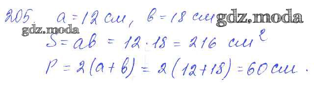
упражнение / 205

Решебник 2

упражнение / 205

Решебник 4

упражнение / 205

Решебник 5

упражнение / 205

ГДЗ решение к заданию № 205 Математика 5 класс Зубарева И.И. Мнемозина 2015 ФГОС бесплатно на гдз.мода!