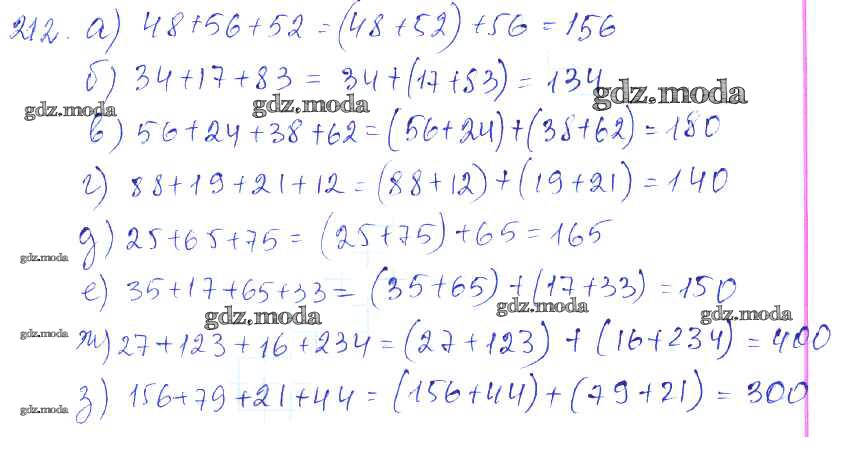
ОТВЕТ на задание № 212 Учебник по Математике 5 класс Зубарева

Решебник 1

упражнение / 212

Решебник 2

упражнение / 212

Решебник 4

упражнение / 212

Решебник 5

упражнение / 212

ГДЗ решение к заданию № 212 Математика 5 класс Зубарева И.И. Мнемозина 2015 ФГОС бесплатно на гдз.мода!