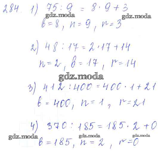
ОТВЕТ на задание № 284 Учебник по Математике 5 класс Зубарева

Решебник 1

упражнение / 284

Решебник 2

упражнение / 284

Решебник 3

упражнение / 284

Решебник 4

упражнение / 284

Решебник 5

упражнение / 284

ГДЗ решение к заданию № 284 Математика 5 класс Зубарева И.И. Мнемозина 2015 ФГОС бесплатно на гдз.мода!