ОТВЕТ на задание № 348 Учебник по Математике 5 класс Зубарева

Решебник 1

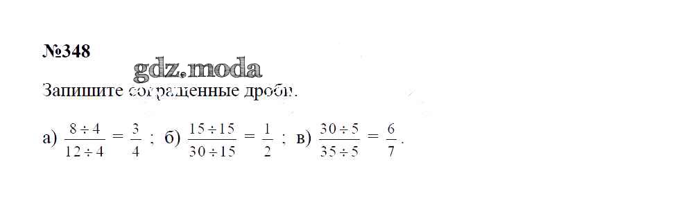
упражнение / 348

Решебник 2

упражнение / 348

Решебник 3

упражнение / 348

Решебник 4

упражнение / 348

Решебник 5

упражнение / 348

ГДЗ решение к заданию № 348 Математика 5 класс Зубарева И.И. Мнемозина 2015 ФГОС бесплатно на гдз.мода!