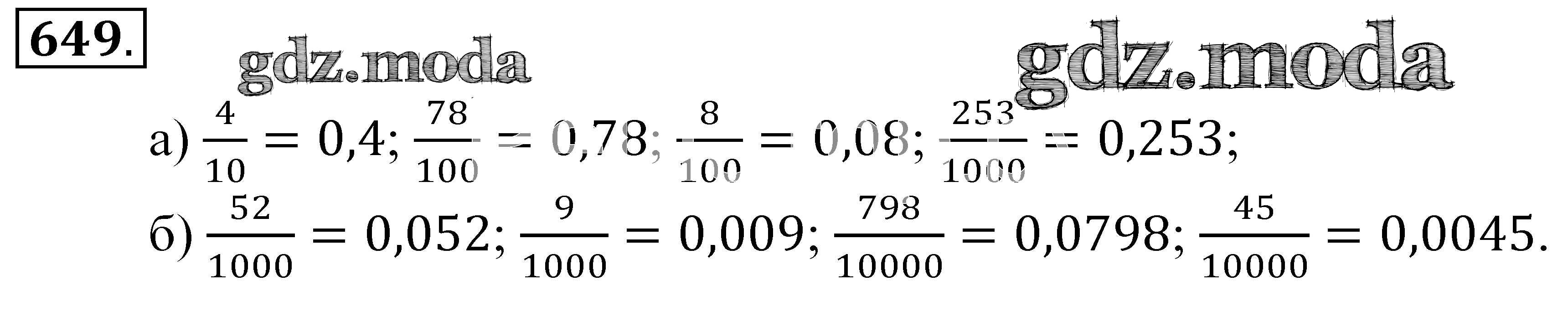
ОТВЕТ на задание № 649 Учебник по Математике 5 класс Зубарева

Решебник 1

упражнение / 649

Решебник 2

упражнение / 649

Решебник 3

упражнение / 649

Решебник 4

упражнение / 649

Решебник 5

упражнение / 649

ГДЗ решение к заданию № 649 Математика 5 класс Зубарева И.И. Мнемозина 2015 ФГОС бесплатно на гдз.мода!