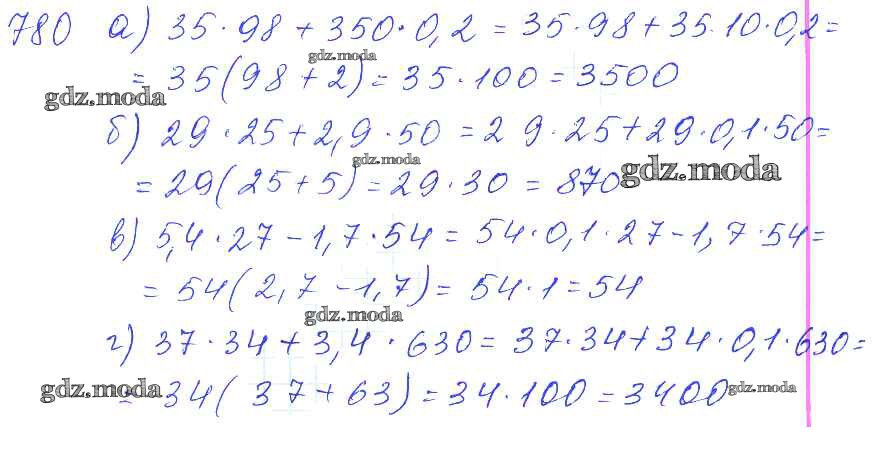
ОТВЕТ на задание № 780 Учебник по Математике 5 класс Зубарева

Решебник 1

упражнение / 780

Решебник 2

упражнение / 780

Решебник 4

упражнение / 780

Решебник 5

упражнение / 780

ГДЗ решение к заданию № 780 Математика 5 класс Зубарева И.И. Мнемозина 2015 ФГОС бесплатно на гдз.мода!