ОТВЕТ на задание № 3 Учебник по Математике 5 класс Зубарева

Решебник 1

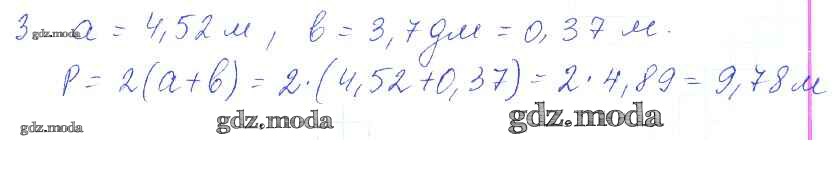
контрольная работа / работа №7 / 3

Решебник 2

контрольная работа / работа №7 / 3

Решебник 4

контрольная работа / работа №7 / 3

Решебник 5

контрольная работа / работа №7 / 3

ГДЗ решение к заданию № 3 Математика 5 класс Зубарева И.И. Мнемозина 2015 ФГОС бесплатно на гдз.мода!