Классы
1 класс
2 класс
3 класс
4 класс
5 класс
6 класс
7 класс
8 класс
9 класс
10 класс
11 класс
Предметы
Алгебра
Английский язык
Белорусский язык
Биология
География
Геометрия
Естествознание
Информатика
Искусство
История
Кубановедение
Литература
Математика
Музыка
Немецкий язык
ОБЖ
Обществознание
Окружающий мир
Основы здоровья
Природоведение
Русский язык
Технология
Украинский язык
Физика
Французский язык
Химия
Человек и мир
Я исследую мир
ГДЗ
5 класс
Математика
Виленкин
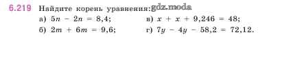
6.219
ОТВЕТ на задание № 6.219 Учебник по Математике 5 класс Виленкин Базовый уровень
Показать содержание
← Предыдущее
Следующее →
Учебник
§6 / упражнение / 6.219
Показать содержание
← Предыдущее
Следующее →
ГДЗ решение к заданию № 6.219 Математика 5 класс Виленкин Н.Я. Просвещение 2023 Часть 2 Базовый уровень ФГОС бесплатно на гдз.мода!