Классы
1 класс
2 класс
3 класс
4 класс
5 класс
6 класс
7 класс
8 класс
9 класс
10 класс
11 класс
Предметы
Алгебра
Английский язык
Белорусский язык
Биология
География
Геометрия
Естествознание
Информатика
Искусство
История
Кубановедение
Литература
Математика
Музыка
Немецкий язык
ОБЖ
Обществознание
Окружающий мир
Основы здоровья
Природоведение
Русский язык
Технология
Украинский язык
Физика
Французский язык
Химия
Человек и мир
Я исследую мир
ГДЗ
5 класс
Математика
Виленкин
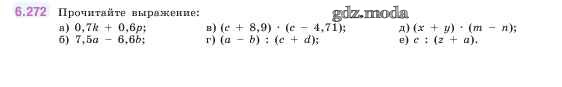
6.272
ОТВЕТ на задание № 6.272 Учебник по Математике 5 класс Виленкин Базовый уровень
Показать содержание
← Предыдущее
Следующее →
Учебник
§6 / упражнение / 6.272
Показать содержание
← Предыдущее
Следующее →
ГДЗ решение к заданию № 6.272 Математика 5 класс Виленкин Н.Я. Просвещение 2023 Часть 2 Базовый уровень ФГОС бесплатно на гдз.мода!