Классы
1 класс
2 класс
3 класс
4 класс
5 класс
6 класс
7 класс
8 класс
9 класс
10 класс
11 класс
Предметы
Алгебра
Английский язык
Белорусский язык
Биология
География
Геометрия
Естествознание
Информатика
Искусство
История
Кубановедение
Литература
Математика
Музыка
Немецкий язык
ОБЖ
Обществознание
Окружающий мир
Основы здоровья
Природоведение
Русский язык
Технология
Украинский язык
Физика
Французский язык
Химия
Человек и мир
Я исследую мир
ГДЗ
5 класс
Математика
Виленкин
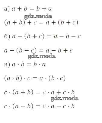
943
ОТВЕТ на задание № 943 Учебник по Математике 5 класс Виленкин
Показать содержание
← Предыдущее
Следующее →
Решебник
повторение / 943
Показать содержание
← Предыдущее
Следующее →
ГДЗ решение к заданию № 943 Математика 5 класс Виленкин Н.Я. Мнемозина 2018 Часть 1, Часть 2 ФГОС бесплатно на гдз.мода!