Классы
1 класс
2 класс
3 класс
4 класс
5 класс
6 класс
7 класс
8 класс
9 класс
10 класс
11 класс
Предметы
Алгебра
Английский язык
Белорусский язык
Биология
География
Геометрия
Естествознание
Информатика
Искусство
История
Кубановедение
Литература
Математика
Музыка
Немецкий язык
ОБЖ
Обществознание
Окружающий мир
Основы здоровья
Природоведение
Русский язык
Технология
Украинский язык
Физика
Французский язык
Химия
Человек и мир
Я исследую мир
ГДЗ
6 класс
Математика
дидактические материалы Чесноков
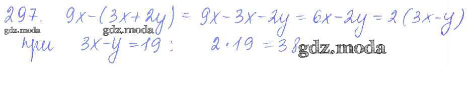
297
ОТВЕТ на задание № 297 Дидактические материалы по Математике 6 класс Чесноков
Показать содержание
← Предыдущее
Следующее →
Решебник 1
самостоятельная работа / вариант 3 / 297
Решебник 2
самостоятельная работа / вариант 3 / 297
Показать содержание
← Предыдущее
Следующее →
ГДЗ решение к заданию № 297 Математика 6 класс дидактические материалы Чесноков А.С. Академкнига 2014 ФГОС бесплатно на гдз.мода!