ОТВЕТ на задание № 156 Дидактические материалы по Математике 6 класс Мерзляк Алгоритм успеха
Решебник 1
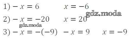
упражнения. вариант / вариант 1 / 156

Решебник 2
упражнения. вариант / вариант 1 / 156

Решебник 3
упражнения. вариант / вариант 1 / 156

Решебник 4
упражнения. вариант / вариант 1 / 156

Все ГДЗ по Математике 6 класс Алгоритм успеха