ОТВЕТ на задание № 180 Дидактические материалы по Математике 6 класс Мерзляк Алгоритм успеха
Решебник 1
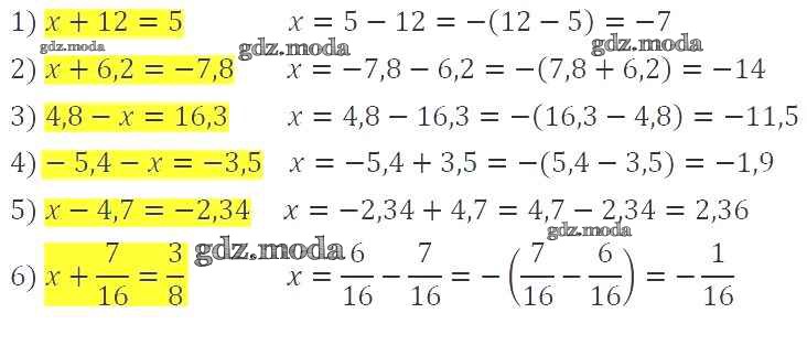
упражнения. вариант / вариант 1 / 180

Решебник 2
упражнения. вариант / вариант 1 / 180

Решебник 3
упражнения. вариант / вариант 1 / 180

Решебник 4
упражнения. вариант / вариант 1 / 180

Все ГДЗ по Математике 6 класс Алгоритм успеха