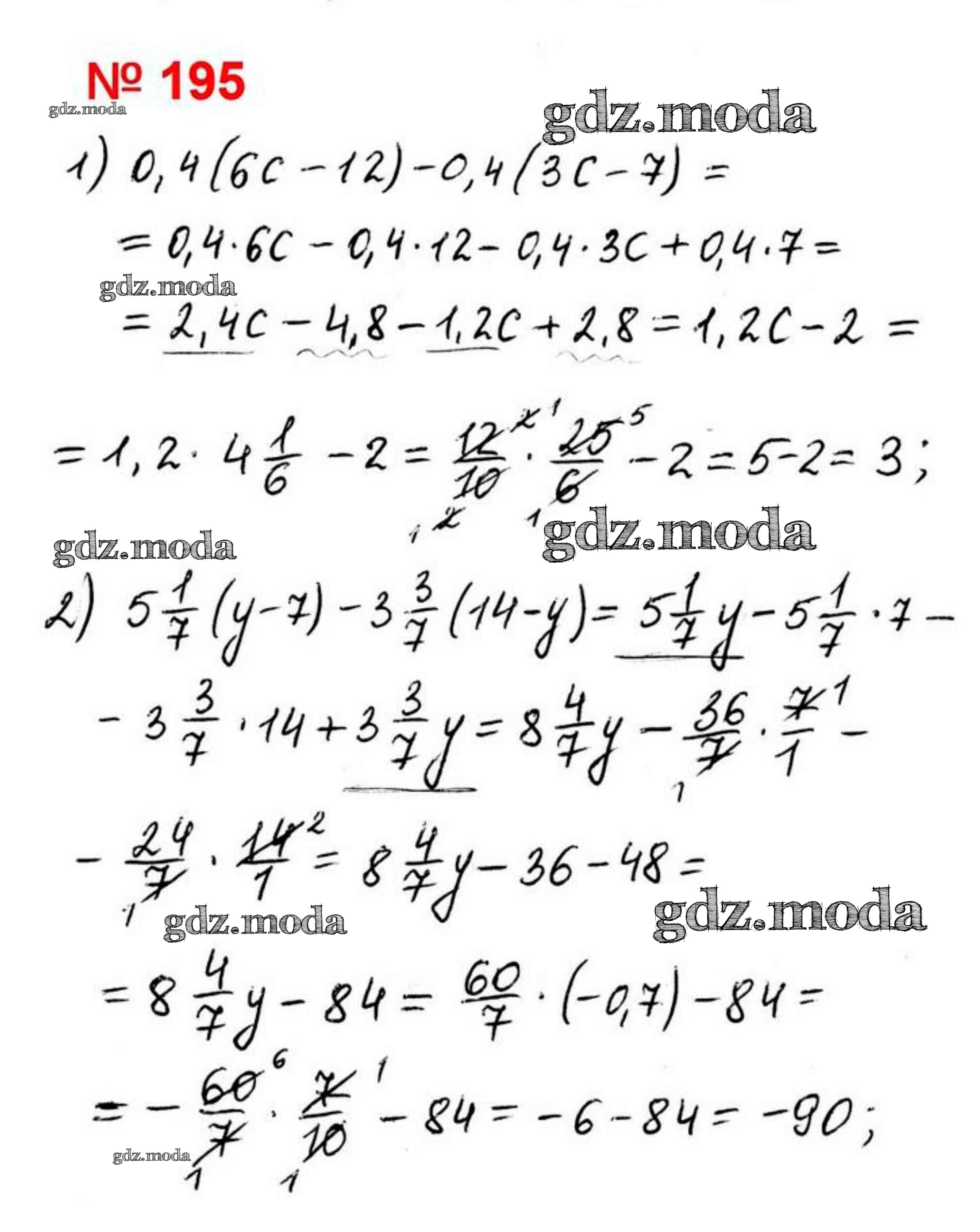
ОТВЕТ на задание № 195 Дидактические материалы по Математике 6 класс Мерзляк Алгоритм успеха
Решебник 1
упражнения. вариант / вариант 1 / 195

Решебник 2
упражнения. вариант / вариант 1 / 195


Решебник 3
упражнения. вариант / вариант 1 / 195


Решебник 4
упражнения. вариант / вариант 1 / 195

Все ГДЗ по Математике 6 класс Алгоритм успеха