ОТВЕТ на задание № 199 Дидактические материалы по Математике 6 класс Мерзляк Алгоритм успеха
Решебник 1
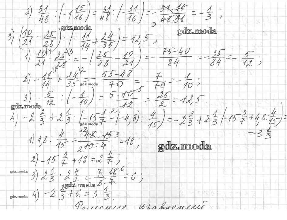
упражнения. вариант / вариант 1 / 199

Решебник 2
упражнения. вариант / вариант 1 / 199


Решебник 3
упражнения. вариант / вариант 1 / 199

Решебник 4
упражнения. вариант / вариант 1 / 199

Все ГДЗ по Математике 6 класс Алгоритм успеха