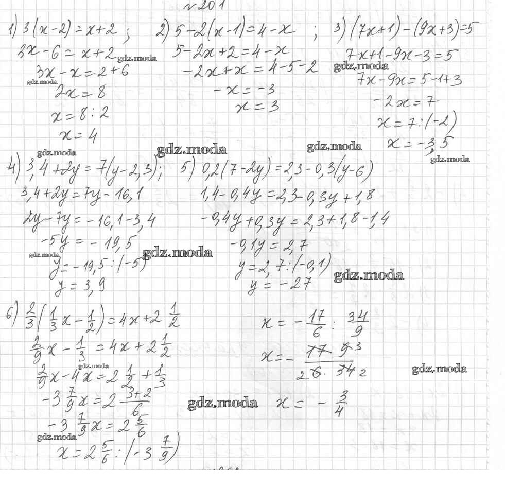
ОТВЕТ на задание № 201 Дидактические материалы по Математике 6 класс Мерзляк Алгоритм успеха
Решебник 1
упражнения. вариант / вариант 1 / 201

Решебник 2
упражнения. вариант / вариант 1 / 201

Решебник 3
упражнения. вариант / вариант 1 / 201

Решебник 4
упражнения. вариант / вариант 1 / 201

Все ГДЗ по Математике 6 класс Алгоритм успеха