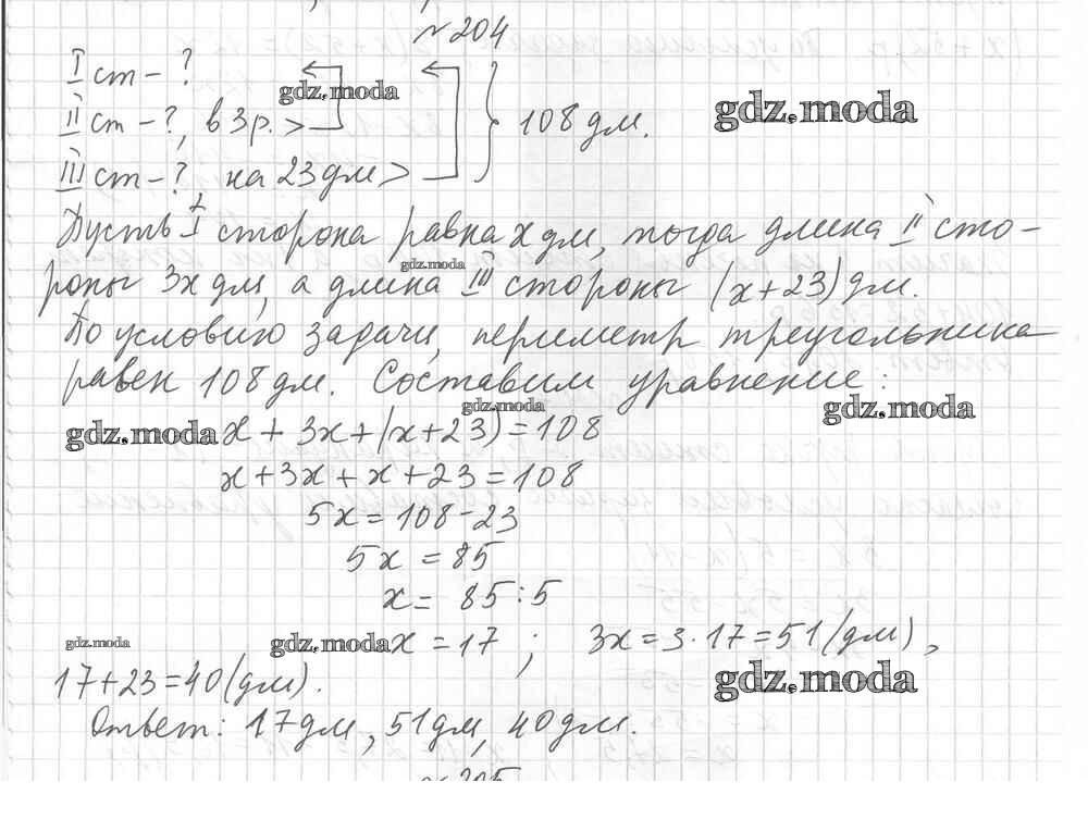
ОТВЕТ на задание № 204 Дидактические материалы по Математике 6 класс Мерзляк Алгоритм успеха
Решебник 1
упражнения. вариант / вариант 1 / 204

Решебник 2
упражнения. вариант / вариант 1 / 204

Решебник 3
упражнения. вариант / вариант 1 / 204

Решебник 4
упражнения. вариант / вариант 1 / 204

Все ГДЗ по Математике 6 класс Алгоритм успеха