ОТВЕТ на задание № 186 Дидактические материалы по Математике 6 класс Мерзляк Алгоритм успеха
Решебник 1
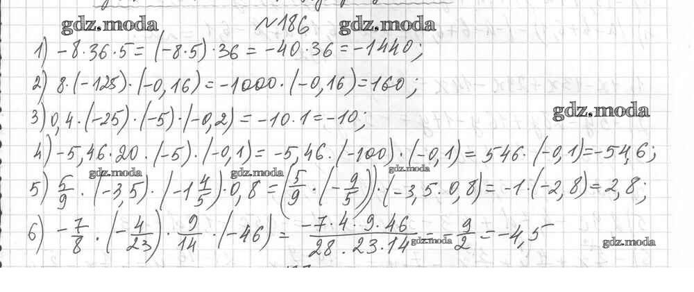
упражнения. вариант / вариант 2 / 186

Решебник 2
упражнения. вариант / вариант 2 / 186

Решебник 3
упражнения. вариант / вариант 2 / 186

Решебник 4
упражнения. вариант / вариант 2 / 186

Все ГДЗ по Математике 6 класс Алгоритм успеха