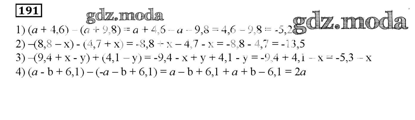
ОТВЕТ на задание № 191 Дидактические материалы по Математике 6 класс Мерзляк Алгоритм успеха
Решебник 1
упражнения. вариант / вариант 2 / 191

Решебник 2
упражнения. вариант / вариант 2 / 191

Решебник 3
упражнения. вариант / вариант 2 / 191

Решебник 4
упражнения. вариант / вариант 2 / 191

Все ГДЗ по Математике 6 класс Алгоритм успеха