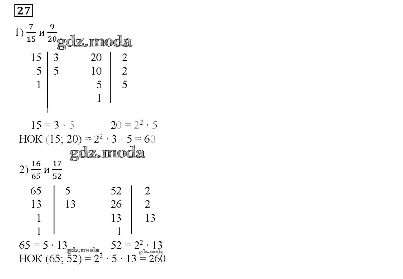
ОТВЕТ на задание № 27 Дидактические материалы по Математике 6 класс Мерзляк Алгоритм успеха
Решебник 1
упражнения. вариант / вариант 2 / 27

Решебник 2
упражнения. вариант / вариант 2 / 27

Решебник 3
упражнения. вариант / вариант 2 / 27

Решебник 4
упражнения. вариант / вариант 2 / 27

Все ГДЗ по Математике 6 класс Алгоритм успеха