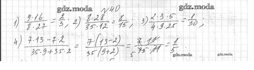
ОТВЕТ на задание № 40 Дидактические материалы по Математике 6 класс Мерзляк Алгоритм успеха
Решебник 1
упражнения. вариант / вариант 2 / 40

Решебник 2
упражнения. вариант / вариант 2 / 40

Решебник 4
упражнения. вариант / вариант 2 / 40

Все ГДЗ по Математике 6 класс Алгоритм успеха