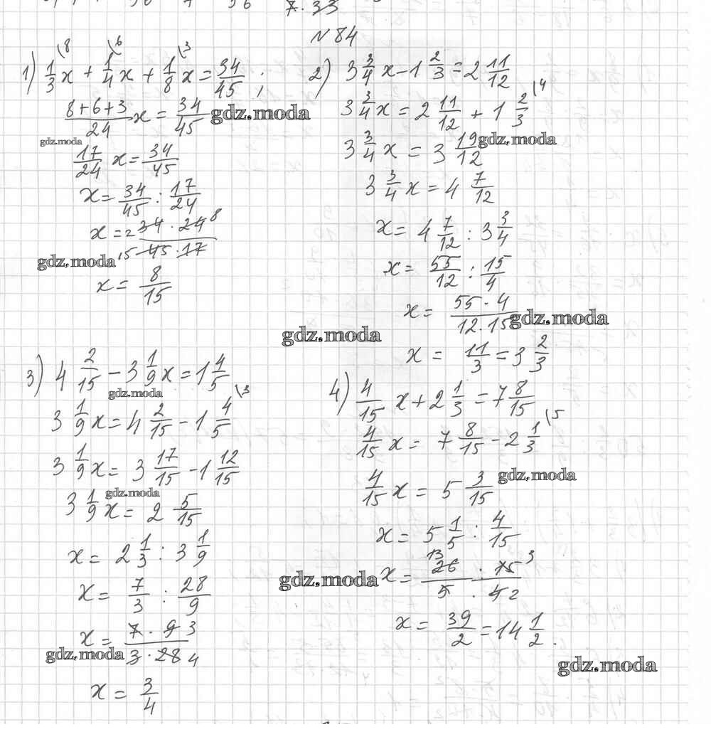
ОТВЕТ на задание № 84 Дидактические материалы по Математике 6 класс Мерзляк Алгоритм успеха
Решебник 1
упражнения. вариант / вариант 2 / 84

Решебник 2
упражнения. вариант / вариант 2 / 84

Решебник 4
упражнения. вариант / вариант 2 / 84

Все ГДЗ по Математике 6 класс Алгоритм успеха