ОТВЕТ на задание № 141 Дидактические материалы по Математике 6 класс Мерзляк Алгоритм успеха
Решебник 1
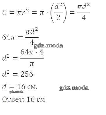
упражнения. вариант / вариант 3 / 141

Решебник 3
упражнения. вариант / вариант 3 / 141

Решебник 4
упражнения. вариант / вариант 3 / 141

Все ГДЗ по Математике 6 класс Алгоритм успеха