ОТВЕТ на задание № 155 Дидактические материалы по Математике 6 класс Мерзляк Алгоритм успеха
Решебник 1
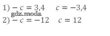
упражнения. вариант / вариант 3 / 155

Решебник 3
упражнения. вариант / вариант 3 / 155

Решебник 4
упражнения. вариант / вариант 3 / 155

Все ГДЗ по Математике 6 класс Алгоритм успеха