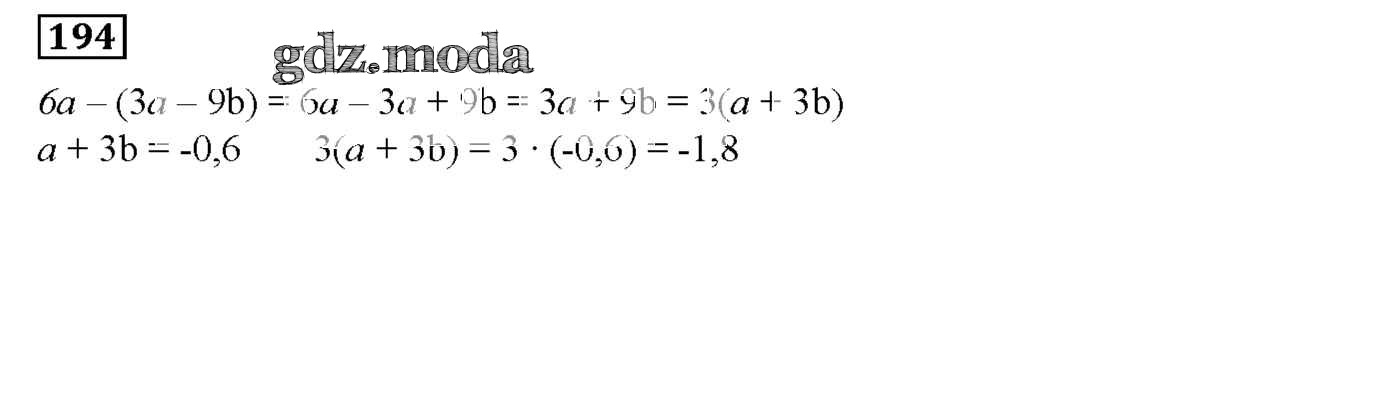
ОТВЕТ на задание № 194 Дидактические материалы по Математике 6 класс Мерзляк Алгоритм успеха
Решебник 1
упражнения. вариант / вариант 3 / 194

Решебник 3
упражнения. вариант / вариант 3 / 194

Решебник 4
упражнения. вариант / вариант 3 / 194

Все ГДЗ по Математике 6 класс Алгоритм успеха