ОТВЕТ на задание № 62 Дидактические материалы по Математике 6 класс Мерзляк Алгоритм успеха
Решебник 1
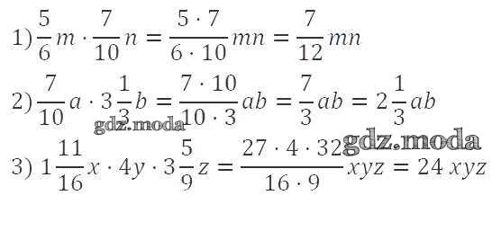
упражнения. вариант / вариант 3 / 62

Решебник 4
упражнения. вариант / вариант 3 / 62

Все ГДЗ по Математике 6 класс Алгоритм успеха
Все ГДЗ по Математике 6 класс Алгоритм успеха