ОТВЕТ на задание № 185 Дидактические материалы по Математике 6 класс Мерзляк Алгоритм успеха
Решебник 1
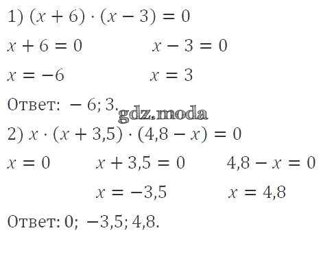
упражнения. вариант / вариант 4 / 185

Решебник 3
упражнения. вариант / вариант 4 / 185

Решебник 4
упражнения. вариант / вариант 4 / 185

Все ГДЗ по Математике 6 класс Алгоритм успеха