ОТВЕТ на задание № 1 Дидактические материалы по Математике 6 класс Мерзляк Алгоритм успеха
Решебник 1
контрольная работа / кр-4. вариант / 1

Решебник 2
контрольная работа / кр-4. вариант / 1


Решебник 3
контрольная работа / кр-4. вариант / 1


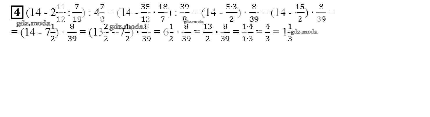
Решебник 4
контрольная работа / кр-4. вариант / 1







Все ГДЗ по Математике 6 класс Алгоритм успеха