Классы
1 класс
2 класс
3 класс
4 класс
5 класс
6 класс
7 класс
8 класс
9 класс
10 класс
11 класс
Предметы
Алгебра
Английский язык
Белорусский язык
Биология
География
Геометрия
Естествознание
Информатика
Искусство
История
Кубановедение
Литература
Математика
Музыка
Немецкий язык
ОБЖ
Обществознание
Окружающий мир
Основы здоровья
Природоведение
Русский язык
Технология
Украинский язык
Физика
Французский язык
Химия
Человек и мир
Я исследую мир
ГДЗ
6 класс
Математика
Герасимов
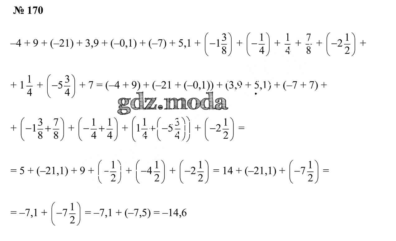
170
ОТВЕТ на задание № 170 Учебник по Математике 6 класс Герасимов
Показать содержание
← Предыдущее
Следующее →
Решебник
глава 4 / упражнение / 170
Показать содержание
← Предыдущее
Следующее →
ГДЗ решение к заданию № 170 Математика 6 класс Герасимов В.Д. Образование и воспитание 2018 бесплатно на гдз.мода!