Классы
1 класс
2 класс
3 класс
4 класс
5 класс
6 класс
7 класс
8 класс
9 класс
10 класс
11 класс
Предметы
Алгебра
Английский язык
Белорусский язык
Биология
География
Геометрия
Естествознание
Информатика
Искусство
История
Кубановедение
Литература
Математика
Музыка
Немецкий язык
ОБЖ
Обществознание
Окружающий мир
Основы здоровья
Природоведение
Русский язык
Технология
Украинский язык
Физика
Французский язык
Химия
Человек и мир
Я исследую мир
ГДЗ
6 класс
Математика
Герасимов
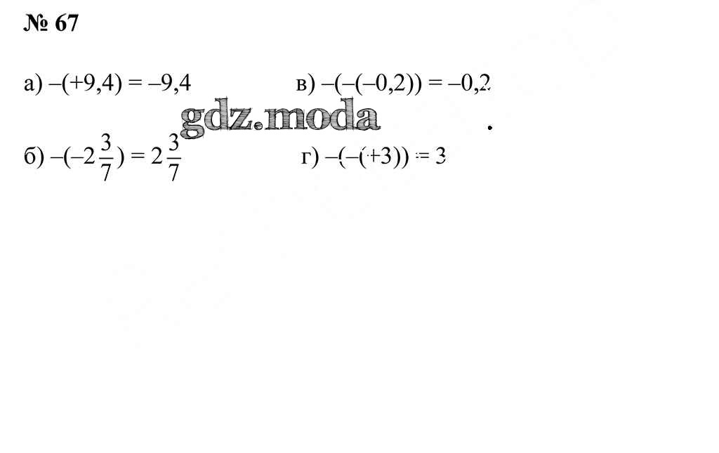
67
ОТВЕТ на задание № 67 Учебник по Математике 6 класс Герасимов
Показать содержание
← Предыдущее
Следующее →
Решебник
глава 4 / упражнение / 67
Показать содержание
← Предыдущее
Следующее →
ГДЗ решение к заданию № 67 Математика 6 класс Герасимов В.Д. Образование и воспитание 2018 бесплатно на гдз.мода!