Классы
1 класс
2 класс
3 класс
4 класс
5 класс
6 класс
7 класс
8 класс
9 класс
10 класс
11 класс
Предметы
Алгебра
Английский язык
Белорусский язык
Биология
География
Геометрия
Естествознание
Информатика
Искусство
История
Кубановедение
Литература
Математика
Музыка
Немецкий язык
ОБЖ
Обществознание
Окружающий мир
Основы здоровья
Природоведение
Русский язык
Технология
Украинский язык
Физика
Французский язык
Химия
Человек и мир
Я исследую мир
ГДЗ
6 класс
Математика
Истомина
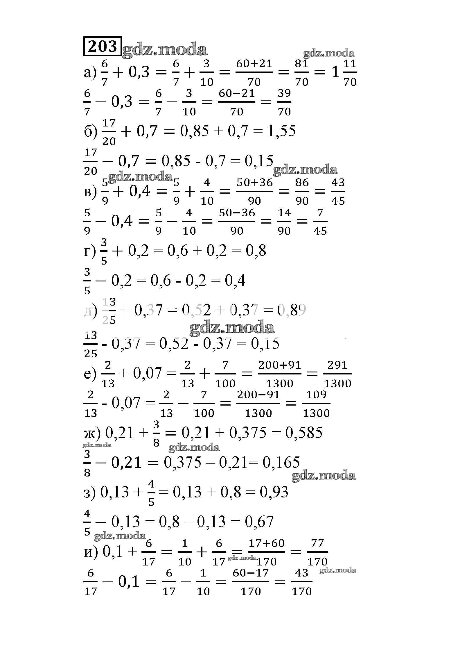
203
ОТВЕТ на задание № 203 Учебник по Математике 6 класс Истомина
Показать содержание
← Предыдущее
Следующее →
Решебник
задание / 203
Показать содержание
← Предыдущее
Следующее →
ГДЗ решение к заданию № 203 Математика 6 класс Истомина Н.Б. Ассоциация 21 век 2015 ФГОС бесплатно на гдз.мода!