Классы
1 класс
2 класс
3 класс
4 класс
5 класс
6 класс
7 класс
8 класс
9 класс
10 класс
11 класс
Предметы
Алгебра
Английский язык
Белорусский язык
Биология
География
Геометрия
Естествознание
Информатика
Искусство
История
Кубановедение
Литература
Математика
Музыка
Немецкий язык
ОБЖ
Обществознание
Окружающий мир
Основы здоровья
Природоведение
Русский язык
Технология
Украинский язык
Физика
Французский язык
Химия
Человек и мир
Я исследую мир
ГДЗ
6 класс
Математика
ким Попова
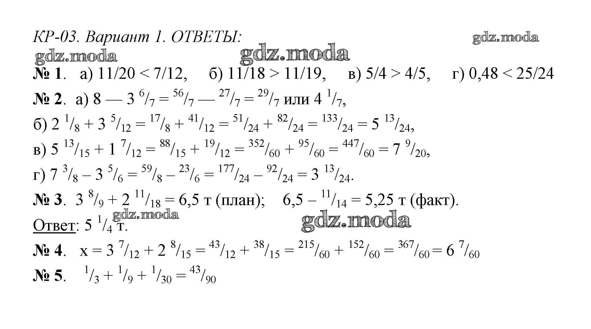
1
ОТВЕТ на задание № 1 Контрольно-измерительные материалы (КИМ) по Математике 6 класс Попова
Показать содержание
← Предыдущее
Следующее →
Решебник 2
контрольная работа / контрольная работа 3 (вариант) / 1
Показать содержание
← Предыдущее
Следующее →
ГДЗ решение к заданию № 1 Математика 6 класс КИМ Попова Л.П. ВАКО 2017 ФГОС бесплатно на гдз.мода!