Классы
1 класс
2 класс
3 класс
4 класс
5 класс
6 класс
7 класс
8 класс
9 класс
10 класс
11 класс
Предметы
Алгебра
Английский язык
Белорусский язык
Биология
География
Геометрия
Естествознание
Информатика
Искусство
История
Кубановедение
Литература
Математика
Музыка
Немецкий язык
ОБЖ
Обществознание
Окружающий мир
Основы здоровья
Природоведение
Русский язык
Технология
Украинский язык
Физика
Французский язык
Химия
Человек и мир
Я исследую мир
ГДЗ
6 класс
Математика
контрольные и самостоятельные работы Журавлев
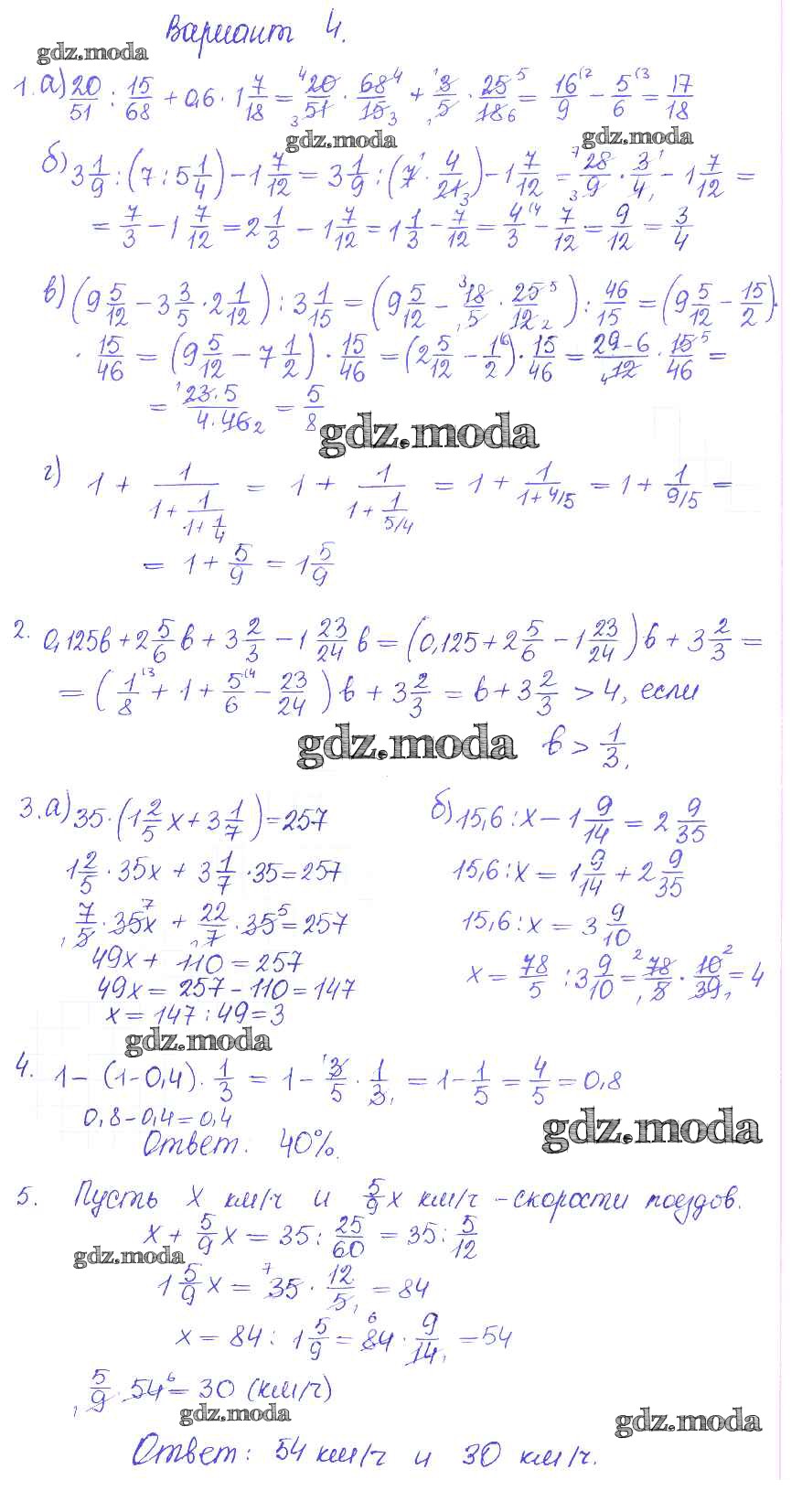
4
ОТВЕТ на задание № 4 Контрольные и самостоятельные работы по Математике 6 класс Журавлев УМК
Показать содержание
← Предыдущее
Следующее →
Решебник
контрольная работа / кр-3. вариант / 4
Показать содержание
← Предыдущее
Следующее →
Все ГДЗ по
Математике 6 класс УМК
ГДЗ решение к заданию № 4 Математика 6 класс контрольные и самостоятельные работы Журавлев С.Г. Экзамен 2015 ФГОС бесплатно на гдз.мода!