ОТВЕТ на задание № 502 Учебник по Математике 6 класс Никольский МГУ - школе

Решебник 1

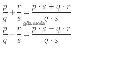
номер / 502

Решебник 2

номер / 502

Решебник 3

номер / 502

Решебник 4

номер / 502

Все ГДЗ по Математике 6 класс МГУ - школе

ГДЗ решение к заданию № 502 Математика 6 класс Никольский С.М. Просвещение 2014 ФГОС бесплатно на гдз.мода!