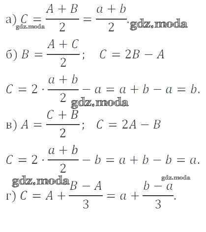
ОТВЕТ на задание № 614 Учебник по Математике 6 класс Никольский МГУ - школе
Решебник 1
номер / 614

Решебник 2
номер / 614

Решебник 3
номер / 614

Решебник 4
номер / 614

Все ГДЗ по Математике 6 класс МГУ - школе
Все ГДЗ по Математике 6 класс МГУ - школе