ОТВЕТ на задание № 654 Учебник по Математике 6 класс Никольский МГУ - школе
Решебник 1
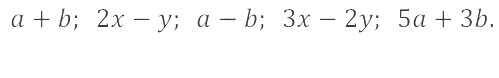
номер / 654

Решебник 2
номер / 654

Решебник 3
номер / 654

Решебник 4
номер / 654

Все ГДЗ по Математике 6 класс МГУ - школе
Все ГДЗ по Математике 6 класс МГУ - школе