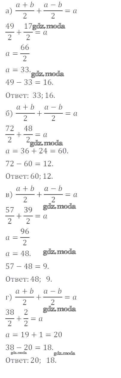
ОТВЕТ на задание № 681 Учебник по Математике 6 класс Никольский МГУ - школе
Решебник 1
номер / 681

Решебник 2
номер / 681

Решебник 3
номер / 681

Решебник 4
номер / 681

Все ГДЗ по Математике 6 класс МГУ - школе
Все ГДЗ по Математике 6 класс МГУ - школе