Классы
1 класс
2 класс
3 класс
4 класс
5 класс
6 класс
7 класс
8 класс
9 класс
10 класс
11 класс
Предметы
Алгебра
Английский язык
Белорусский язык
Биология
География
Геометрия
Естествознание
Информатика
Искусство
История
Кубановедение
Литература
Математика
Музыка
Немецкий язык
ОБЖ
Обществознание
Окружающий мир
Основы здоровья
Природоведение
Русский язык
Технология
Украинский язык
Физика
Французский язык
Химия
Человек и мир
Я исследую мир
ГДЗ
6 класс
Математика
рабочая тетрадь Рудницкая
73
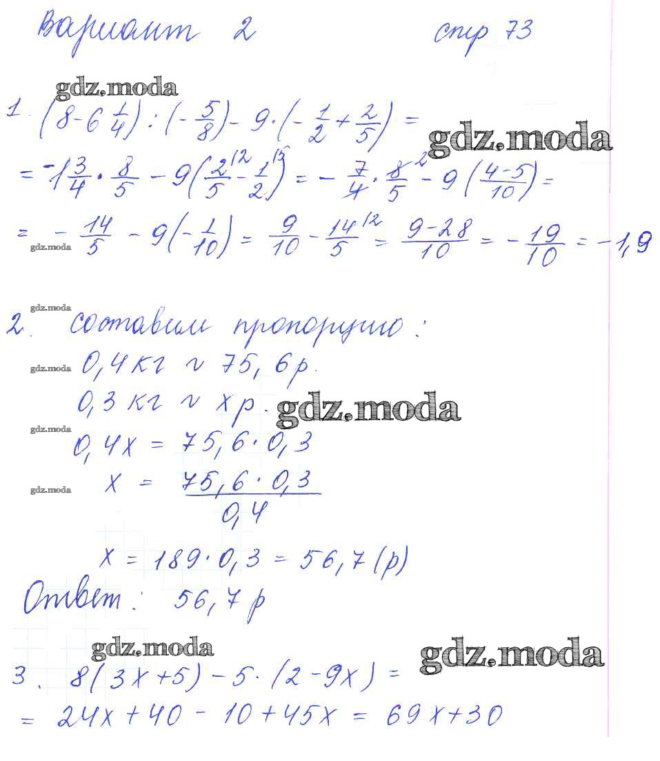
ОТВЕТ на задание № 73 Рабочая тетрадь по Математике 6 класс Рудницкая УМК
Показать содержание
← Предыдущее
Следующее →
Решебник
часть 2. страница / 73
Показать содержание
← Предыдущее
Следующее →
Все ГДЗ по
Математике 6 класс УМК
ГДЗ решение к заданию № 73 Математика 6 класс рабочая тетрадь для контрольных работ Рудницкая В.Н. (к уч. Виленкина Н.Я.) Экзамен 2013 Часть 1, Часть 2 ФГОС бесплатно на гдз.мода!