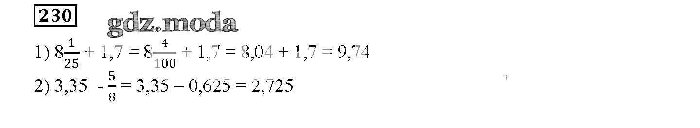
ОТВЕТ на задание № 83 Рабочая тетрадь по Математике 6 класс Мерзляк Алгоритм успеха

Решебник 1

часть 1. страница / 83

Решебник 2

часть 1. страница / 83

Решебник 3

часть 1. страница / 83

Все ГДЗ по Математике 6 класс Алгоритм успеха

ГДЗ решение к заданию № 83 Математика 6 класс рабочая тетрадь Мерзляк А.Г. Вентана-граф 2019 Часть 1, Часть 2, Часть 3 ФГОС бесплатно на гдз.мода!