Классы
1 класс
2 класс
3 класс
4 класс
5 класс
6 класс
7 класс
8 класс
9 класс
10 класс
11 класс
Предметы
Алгебра
Английский язык
Белорусский язык
Биология
География
Геометрия
Естествознание
Информатика
Искусство
История
Кубановедение
Литература
Математика
Музыка
Немецкий язык
ОБЖ
Обществознание
Окружающий мир
Основы здоровья
Природоведение
Русский язык
Технология
Украинский язык
Физика
Французский язык
Химия
Человек и мир
Я исследую мир
ГДЗ
6 класс
Математика
сборник задач и упражнений Гамбарин
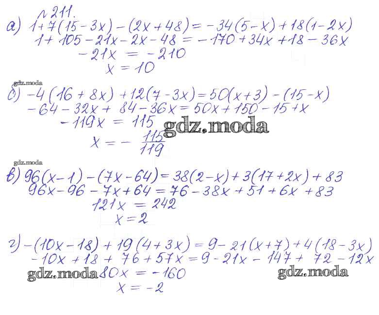
211
ОТВЕТ на задание № 211 Сборник задач и упражнений по Математике 6 класс Гамбарин
Показать содержание
← Предыдущее
Следующее →
Решебник
упражнение / 211
Показать содержание
← Предыдущее
Следующее →
ГДЗ решение к заданию № 211 Математика 6 класс сборник задач и упражнений Гамбарин В.Г. Мнемозина 2011 ФГОС бесплатно на гдз.мода!