Классы
1 класс
2 класс
3 класс
4 класс
5 класс
6 класс
7 класс
8 класс
9 класс
10 класс
11 класс
Предметы
Алгебра
Английский язык
Белорусский язык
Биология
География
Геометрия
Естествознание
Информатика
Искусство
История
Кубановедение
Литература
Математика
Музыка
Немецкий язык
ОБЖ
Обществознание
Окружающий мир
Основы здоровья
Природоведение
Русский язык
Технология
Украинский язык
Физика
Французский язык
Химия
Человек и мир
Я исследую мир
ГДЗ
6 класс
Математика
учебник Бунимович
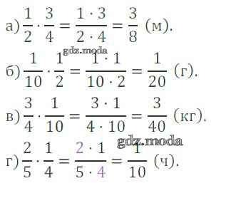
36
ОТВЕТ на задание № 36 Учебник по Математике 6 класс Бунимович Сферы
Показать содержание
← Предыдущее
Следующее →
Решебник 1
упражнение / 36
Решебник 2
упражнение / 36
Решебник 3
упражнение / 36
Показать содержание
← Предыдущее
Следующее →
Все ГДЗ по
Математике 6 класс Сферы
ГДЗ решение к заданию № 36 Математика 6 класс Бунимович Е.А. Просвещение, Просвещение 2014, 2019 ФГОС бесплатно на гдз.мода!