Классы
1 класс
2 класс
3 класс
4 класс
5 класс
6 класс
7 класс
8 класс
9 класс
10 класс
11 класс
Предметы
Алгебра
Английский язык
Белорусский язык
Биология
География
Геометрия
Естествознание
Информатика
Искусство
История
Кубановедение
Литература
Математика
Музыка
Немецкий язык
ОБЖ
Обществознание
Окружающий мир
Основы здоровья
Природоведение
Русский язык
Технология
Украинский язык
Физика
Французский язык
Химия
Человек и мир
Я исследую мир
ГДЗ
6 класс
Математика
учебник Бунимович
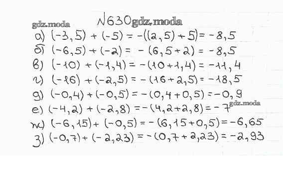
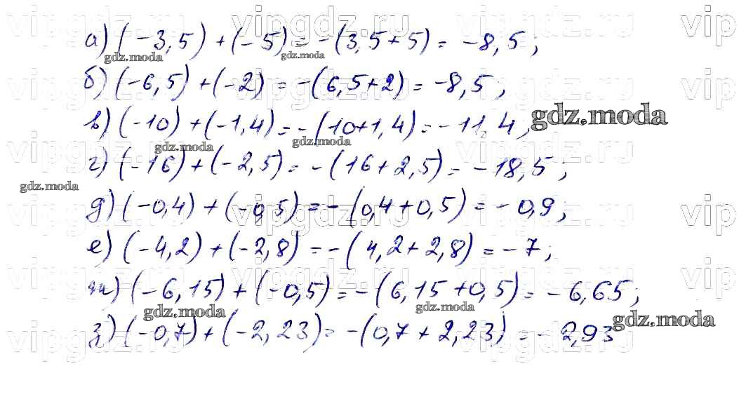
630
ОТВЕТ на задание № 630 Учебник по Математике 6 класс Бунимович Сферы
Показать содержание
← Предыдущее
Следующее →
Решебник 1
упражнение / 630
Решебник 2
упражнение / 630
Решебник 3
упражнение / 630
Показать содержание
← Предыдущее
Следующее →
Все ГДЗ по
Математике 6 класс Сферы
ГДЗ решение к заданию № 630 Математика 6 класс Бунимович Е.А. Просвещение, Просвещение 2014, 2019 ФГОС бесплатно на гдз.мода!