Классы
1 класс
2 класс
3 класс
4 класс
5 класс
6 класс
7 класс
8 класс
9 класс
10 класс
11 класс
Предметы
Алгебра
Английский язык
Белорусский язык
Биология
География
Геометрия
Естествознание
Информатика
Искусство
История
Кубановедение
Литература
Математика
Музыка
Немецкий язык
ОБЖ
Обществознание
Окружающий мир
Основы здоровья
Природоведение
Русский язык
Технология
Украинский язык
Физика
Французский язык
Химия
Человек и мир
Я исследую мир
ГДЗ
6 класс
Математика
учебник Дорофеев
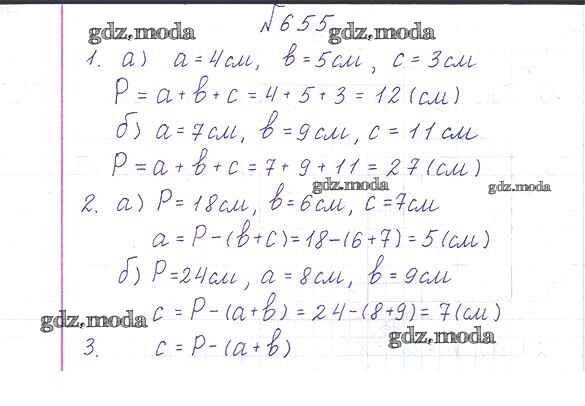
655
ОТВЕТ на задание № 655 Учебник по Математике 6 класс Дорофеев Академический школьный учебник
Показать содержание
← Предыдущее
Следующее →
Решебник 1
упражнение / 655
Решебник 2
упражнение / 655
Решебник 3
упражнение / 655
Показать содержание
← Предыдущее
Следующее →
ГДЗ решение к заданию № 655 Математика 6 класс Дорофеев Г.В. Просвещение 2014 ФГОС бесплатно на гдз.мода!