Классы
1 класс
2 класс
3 класс
4 класс
5 класс
6 класс
7 класс
8 класс
9 класс
10 класс
11 класс
Предметы
Алгебра
Английский язык
Белорусский язык
Биология
География
Геометрия
Естествознание
Информатика
Искусство
История
Кубановедение
Литература
Математика
Музыка
Немецкий язык
ОБЖ
Обществознание
Окружающий мир
Основы здоровья
Природоведение
Русский язык
Технология
Украинский язык
Физика
Французский язык
Химия
Человек и мир
Я исследую мир
ГДЗ
6 класс
Математика
учебник Дорофеев
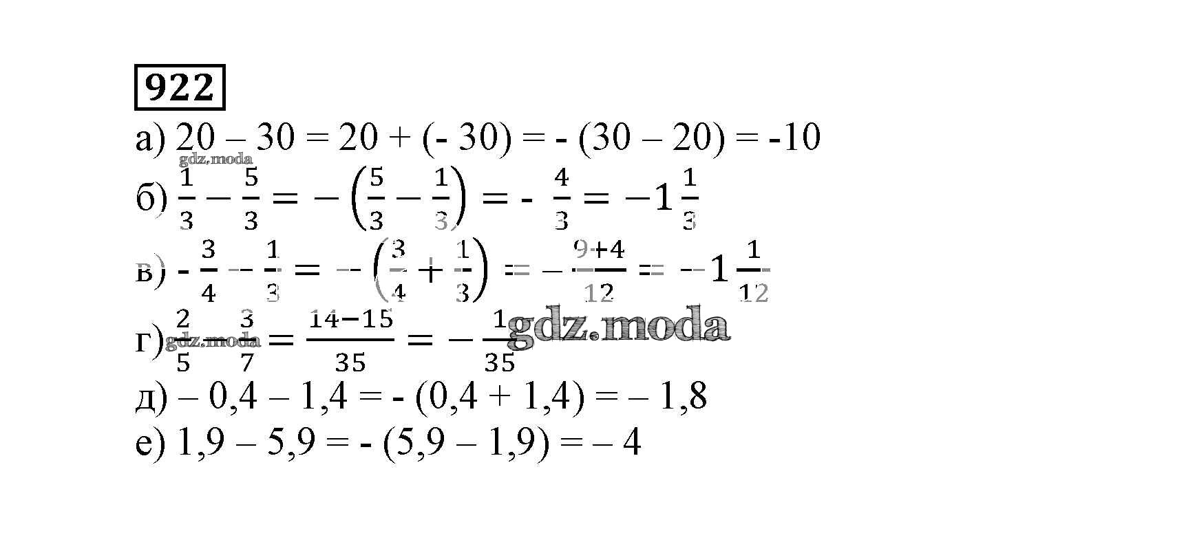
922
ОТВЕТ на задание № 922 Учебник по Математике 6 класс Дорофеев Академический школьный учебник
Показать содержание
← Предыдущее
Следующее →
Решебник 1
упражнение / 922
Решебник 2
упражнение / 922
Решебник 3
упражнение / 922
Показать содержание
← Предыдущее
Следующее →
ГДЗ решение к заданию № 922 Математика 6 класс Дорофеев Г.В. Просвещение 2014 ФГОС бесплатно на гдз.мода!