Классы
1 класс
2 класс
3 класс
4 класс
5 класс
6 класс
7 класс
8 класс
9 класс
10 класс
11 класс
Предметы
Алгебра
Английский язык
Белорусский язык
Биология
География
Геометрия
Естествознание
Информатика
Искусство
История
Кубановедение
Литература
Математика
Музыка
Немецкий язык
ОБЖ
Обществознание
Окружающий мир
Основы здоровья
Природоведение
Русский язык
Технология
Украинский язык
Физика
Французский язык
Химия
Человек и мир
Я исследую мир
ГДЗ
6 класс
Математика
учебник Петерсон
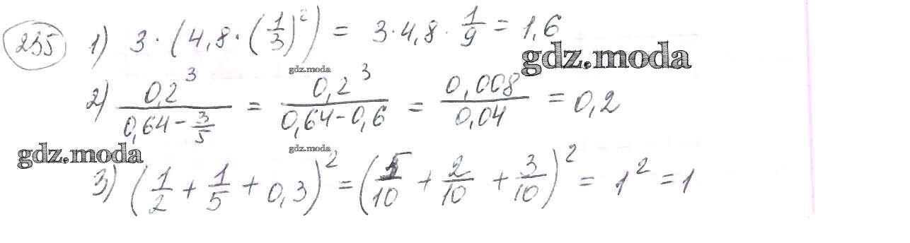
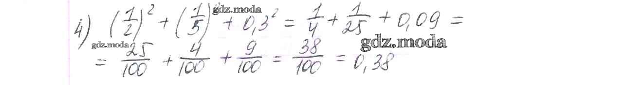
235
ОТВЕТ на задание № 235 Учебник по Математике 6 класс Петерсон Учусь учиться
Показать содержание
← Предыдущее
Следующее →
Решебник №1
часть 1. упражнение / 235
Решебник №2
часть 1. упражнение / 235
Показать содержание
← Предыдущее
Следующее →
ГДЗ решение к заданию № 235 Математика 6 класс Петерсон Л.Г. Ювента 2014 Часть 1, Часть 2, Часть 3 ФГОС бесплатно на гдз.мода!