Классы
1 класс
2 класс
3 класс
4 класс
5 класс
6 класс
7 класс
8 класс
9 класс
10 класс
11 класс
Предметы
Алгебра
Английский язык
Белорусский язык
Биология
География
Геометрия
Естествознание
Информатика
Искусство
История
Кубановедение
Литература
Математика
Музыка
Немецкий язык
ОБЖ
Обществознание
Окружающий мир
Основы здоровья
Природоведение
Русский язык
Технология
Украинский язык
Физика
Французский язык
Химия
Человек и мир
Я исследую мир
ГДЗ
6 класс
Математика
учебник Петерсон
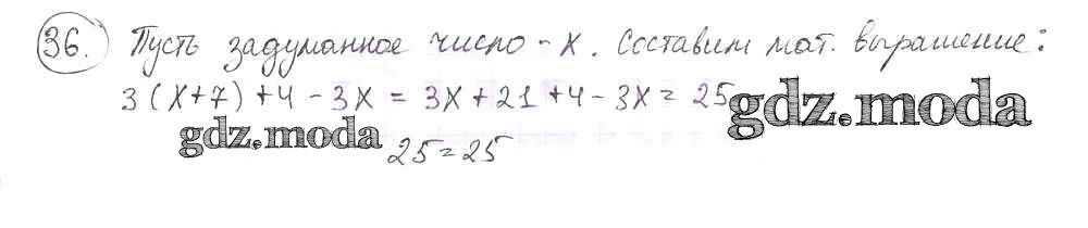
36
ОТВЕТ на задание № 36 Учебник по Математике 6 класс Петерсон Учусь учиться
Показать содержание
← Предыдущее
Следующее →
Решебник №1
часть 3. упражнение / 36
Решебник №2
часть 3. упражнение / 36
Показать содержание
← Предыдущее
Следующее →
ГДЗ решение к заданию № 36 Математика 6 класс Петерсон Л.Г. Ювента 2014 Часть 1, Часть 2, Часть 3 ФГОС бесплатно на гдз.мода!