ОТВЕТ на задание № 163 Учебник по Математике 6 класс Мерзляк Алгоритм успеха

Решебник №1

глава 1 / 163

Решебник №2

глава 1 / 163

Решебник №3

глава 1 / 163

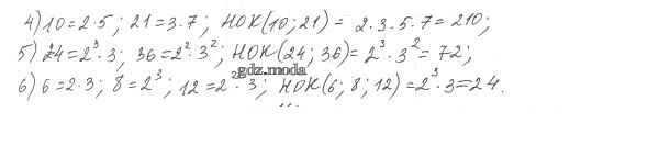
Решебник №4

глава 1 / 163

Решебник №5

глава 1 / 163

Решебник №6

глава 1 / 163

Все ГДЗ по Математике 6 класс Алгоритм успеха

ГДЗ решение к заданию № 163 Математика 6 класс Мерзляк А.Г. Вентана-граф 2016 ФГОС бесплатно на гдз.мода!