ОТВЕТ на задание № 292 Учебник по Математике 6 класс Мерзляк Алгоритм успеха
Решебник №1
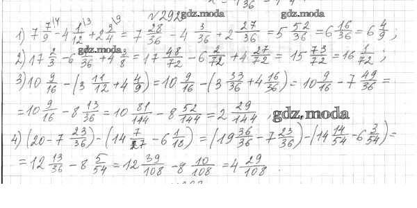
глава 2 / 292

Решебник №2
глава 2 / 292

Решебник №3
глава 2 / 292

Решебник №4
глава 2 / 292

Решебник №5
глава 2 / 292

Решебник №6
глава 2 / 292

Все ГДЗ по Математике 6 класс Алгоритм успеха