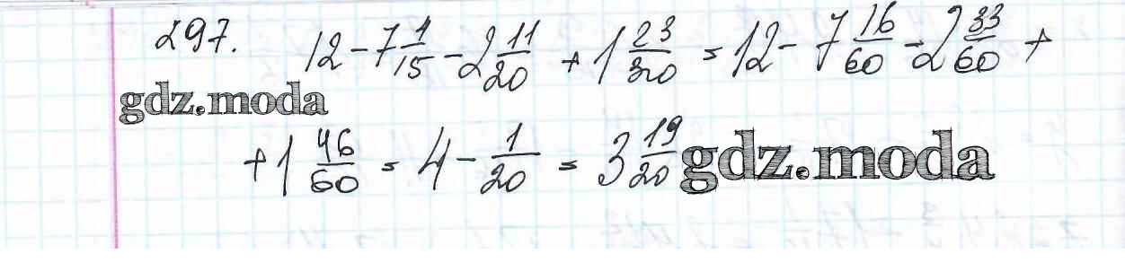
ОТВЕТ на задание № 297 Учебник по Математике 6 класс Мерзляк Алгоритм успеха
Решебник №1
глава 2 / 297

Решебник №2
глава 2 / 297

Решебник №3
глава 2 / 297

Решебник №4
глава 2 / 297


Решебник №5
глава 2 / 297

Решебник №6
глава 2 / 297

Все ГДЗ по Математике 6 класс Алгоритм успеха