ОТВЕТ на задание № 312 Учебник по Математике 6 класс Мерзляк Алгоритм успеха
Решебник №1
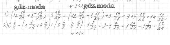
глава 2 / 312

Решебник №2
глава 2 / 312

Решебник №3
глава 2 / 312

Решебник №4
глава 2 / 312

Решебник №5
глава 2 / 312

Решебник №6
глава 2 / 312

Все ГДЗ по Математике 6 класс Алгоритм успеха